[1] 0.189


| Component | Points |
|---|---|
| Pre-class work (Perusall) | 44 |
| Class Participation | 86 |
| Homework (13) | 195 |
| Checkpoint Quizze (13) | 275 |
| Exam A | 200 |
| Exam B | 200 |
| Total | 1,000 |

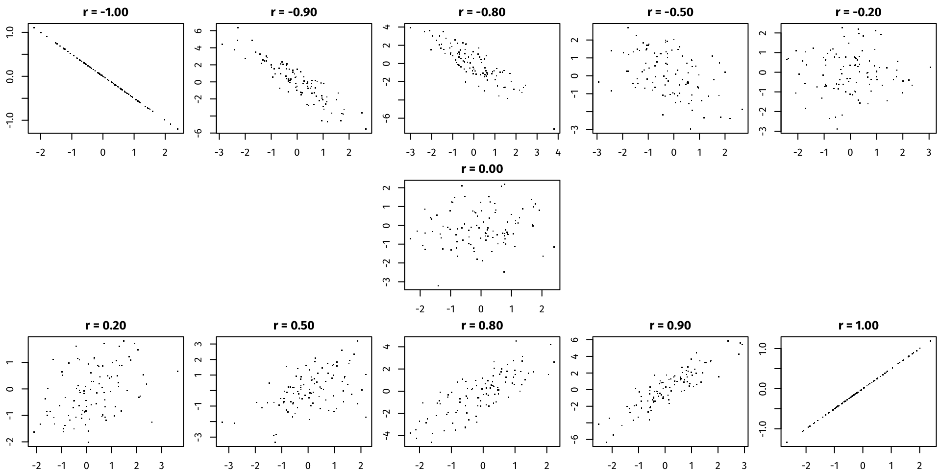
The correlation \(r\) between two variables \(X\) and \(Y\) measures the strength of the linear relationship between them. Correlation ranges from \(-1\) (perfect negative relationship) to \(0\) (no relationship) to \(1\) (perfect positive relationship).
$ sign accesses the variables in the data set profs.csv.
Call:
lm(formula = eval ~ beauty, data = profs)
Residuals:
Min 1Q Median 3Q Max
-1.8002 -0.3630 0.0725 0.4021 1.1037
Coefficients:
Estimate Std. Error t value Pr(>|t|)
(Intercept) 3.9983 0.0253 157.73 < 0.0000000000000002 ***
beauty 0.1330 0.0322 4.13 0.000042 ***
---
Signif. codes: 0 '***' 0.001 '**' 0.01 '*' 0.05 '.' 0.1 ' ' 1
Residual standard error: 0.545 on 461 degrees of freedom
Multiple R-squared: 0.0357, Adjusted R-squared: 0.0336
F-statistic: 17.1 on 1 and 461 DF, p-value: 0.0000425
Probably not!
Call:
lm(formula = eval ~ beauty + age, data = profs)
Residuals:
Min 1Q Median 3Q Max
-1.8024 -0.3651 0.0741 0.3991 1.1021
Coefficients:
Estimate Std. Error t value Pr(>|t|)
(Intercept) 3.984401 0.133730 29.79 < 0.0000000000000002 ***
beauty 0.134063 0.033744 3.97 0.000082 ***
age 0.000287 0.002715 0.11 0.92
---
Signif. codes: 0 '***' 0.001 '**' 0.01 '*' 0.05 '.' 0.1 ' ' 1
Residual standard error: 0.546 on 460 degrees of freedom
Multiple R-squared: 0.0358, Adjusted R-squared: 0.0316
F-statistic: 8.53 on 2 and 460 DF, p-value: 0.00023
The other missing part of the story:
